企业名称:亚美体育在线
联系人:邓先生
电话:0757-63228389
手机:13528910089
邮箱:qtjx168@163.com
地址:广东省佛山市南海区罗村联和工业区东区6路1号
网址:www.naticosi.com
方通机厂家告诉你直径Φ 倒角量 a 角度θ 正切函数tan θ 正弦函数 sin θ 余弦函数 cos θ 圆弧半径R 乘以号x
除以号÷ 先运算( )内结果,再运算【 】,再运算全式

一、外圆倒斜角计算公式
例子: Φ 30直径外端倒角1.5x60°
程式:Go X32 Z2
1,倒角起点直径X= Φ-2xaxtanθ° X=30-2x1.5x1.732=24.804 G1 X24.804 Z0 F0.2
2,倒角起点长度Z=0 其中tan60°由数学用表查出 G1 X30 Z-1.5 F0.15
3,倒角收点直径X= Φ; G1 Z-50
4,倒角收点长度Z= -a

二、内圆倒斜角计算公式
例子: Φ 20孔径外端倒角2x60°
程式:Go X18 Z2
1,倒角起点直径X= Φ+2xaxtanθ° x=20+2x2x1.732=26.928 G1 x26.928 Z0 F0.2
2,倒角起点长度Z=0 G1 X20 Z-2 F0.15
3,倒角收点直径X= Φ; G1 Z-30
4,倒角收点长度Z= -a

三、外圆倒圆角计算公式
例子: Φ 35直径外端圆角R3
程式:Go X36 Z2
1,倒角起点直径X= Φ-2*R X=35-2x3=29 G1 X29 Z0 F0.2
2, 倒角起点长度 Z=0 G3 X35 Z-3 R3 F0.15
3,倒角收点直径X= Φ; G1 Z-30
4,倒角收点长度Z= - R
四、内圆倒圆角计算公式
例子; Φ 20孔径外端圆角R2
程式:G0 X18 Z2
1,倒角起点直径X= Φ+2*R X=20+2x2=24 G1 X24 Z0 F0.2
2, 倒角起点长度 Z=0 G2 X20 Z-2 R2 F0.1
3,倒角收点直径X= Φ; G1 Z-25
4,倒角收点长度Z= - R

五、G90、G92数控指令R锥度值的计算:
例子:大端Φ 35小端Φ32锥体长20 牙长16mm让刀3mm加工
1、计算图上锥度比例值: (32-35)/20=-0.15 程式;G0 X37 Z3
(起始端直径 - 收点端直径)÷锥体长度 G92 X33.8 Z-16 R-1.425 F2
2、计算G92实际R值(车牙时,起始端至收点端的半径差):-0.15X1/2X(16+3)=-1.425 X33.1
锥度比例值x1/2x(有效牙长度+让刀位置) X32.6
3、G92的收刀点直径: 35+(-0.15X(20-16))-2X1=32.4 X32.4
锥体收点端直径+锥度比例值x(锥体长度—有效螺纹长度)—2x牙高
六、球冠的高度计算公式:
1、当截面为劣弧时。球冠高度= R-【R2-(X/2)2)】的方差的平方根

2、当截面为优弧时。球冠高度=R+【R2-(X/2)2)】的方差的平方根


例如:Φ 35外径前端车制一个R50的圆弧面
弓高=R50-【R50乘方-(35/2)乘方】的方差的平方根=3.162
程序:S800 M3G99T0101
G0 X36 Z2
G71 U2 R1 F0.25
G71 P10 Q40 U0.8 W0.1
N10 G0 X0
N20 G1 Z0
N30 G3 X35 Z-3.162 R50
N40 G1 X36
G70 P10 Q40 S1500 F0.1
G0 X100 Z50
M5
M30
例如:Φ 40棒料车制尾柄为 Φ 18 的 R20的球体
弓高=R20+【R20乘方-(18/2)乘方】的方差的平方根=37.86
程序:S800 M3G99T0101
G0 X41 Z2
G71 U2 R1 F0.25
G71 P10 Q40 U0.8 W0.1
N10 G0 X0
N20 G1 Z0
N30 G3 X40 Z-20 R20
N40 G1 X41
G70 P10 Q40 S1500 F0.1
G0 X100 Z50
T0202
G0 X44 Z-37.86
G72 W2.5 R0 F0.25
G72 P50 Q80 U0.8 W0
N50 G0 Z-20
N60 G1 X40
N70 G3 X18 Z-37.86 R20
N80 G1 Z-37.86
G70 P50 Q80 S1500 F0.1
G0 X100 Z50
M30
七、锥体与球体结合体的接点计算:
1、顶端 X=0 Z=0
2、圆弧与锥体相切点 X=2xRxcosθ°
Z= -(1-Sinθ°)xR
收点端 X=锥体大端Φ Z= -(Φ-切点X)÷2÷tanθ+切点的Z
例如:Φ32棒料车制一个前端为R3的60度顶尖
圆弧与锥体切点X=2*3*0.866=5.196
Z=-(1-0.5)*3=-1.5
锥大端=32
锥体大端=-(32-5.195)÷2÷ 0.57733+(-1.5)=-24.713

程序:S700 M3G99T0101
G0 X32.5 Z2
G71 U2 R1 F0.25
G71 P10 Q40 U0.8 W0.1
N10 G0 X0
N20 G1 Z0
N30 G3 X5.196 Z-1.5 R3
N40 G1 X32 Z-24.713
G70 P10 Q40 S1500 F0.1
G0 X100 Z50
M5
M30

八、方通机锥台圆角的计算:
1、起始端X =Φ-2R【 (1-sin θ)*tanθ-cos θ】Z=0
2、切点 X =Φ+2R (1-sin θ)*tanθ Z =-(1-Sinθ)*R
3、收点X=锥体大端直径Φ Z = -(Φ-切点X)÷2÷tanθ+切点的Z(也就是锥长)

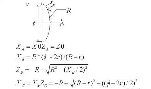
九、大圆弧R与小圆弧 r 的接合:
1、起始端 X=0 Z=0
2、切点X Z见上图
3、收点X =Φ Z=见上图
例如直径100棒料车R80大球端,r10卷边
S500M3T0101G99
G0 X102 Z2
G71 U2.5 R1 F0,25
G71 P10 Q50 U0.8 W0.2
N10 G0 X0
N20 G1 Z0
N30 G3 X91.428 Z-14.347 R80
N40 G3 X100 Z-22.554 R10
N50 G1 Z-23
G70 P10 Q50 S800 F0.12
G0 X150 Z50
M5
M30